Направлено с таможенным уведомлением АлиЭкспресс
навигация
АлиЭкспресс направлено с таможенным уведомлением
Общение с инспектором таможенного поста Симферополь-центральный
Xiaomi 9S обзор
Важно: Данная история была написана частями по мере поступления той или иной информации от таможенного поста Симферополь-центральный, а так же после фактических приездов от них...
История моя началась ещё 18 мая когда решили приобрести телефон Xiaomi Redmi Note 9S на 6 гб оперативной памяти и 128 гб внутренней памяти на алиэкспресс, а именно 18 мая 13:00 часов был сделан заказ данного телефона с ценой 17 231,41 руб
Естественно моя фактически оплаченная сумма была немного другой, и если перейти на вкладку подробнее то можно увидеть такую "картину" оплаты
Уменьшал цену телефона ( Xiaomi 9s 128 гб ) - Купоном продавца на 151,82 руб и Купоном АлиЭкспресс на 1300 руб и именно поэтому заплатил всего лишь 15 931,41 руб - всеми этими Купонами делюсь в своём Телеграм канале ссылку на него оставлю в комментариях
20 июня 2020 в 20:54 увидел что моя посылка с Шарапово выдвинулась с уведомлением: Направлено с таможенным уведомлением

Естественно это мне очень не понравилось - ведь данный статус означает что моей посылкой заинтересовались Таможенные работники и явно теперь имеют намеренность уточнить стоимость, наименование и подлинность товара. А возможно продавец указал реальную стоимость и теперь будет процедура оплаты пошлины и дополнительное уточнения стоимости данного товара
Ещё большей неожиданностью было изменение статуса 25 июня 2020 в 15:25 на: Прибыло в отделение, требуется таможенное оформление в г. Симферополь на ул. Александра Невского д 1 - это Симферопольский Главпочтамт

Естественно на следующий день ( 26 июня ) в 8:00 утра звоню по номеру телефона - который указан в приложении Почты России и показан на скриншоте выше +7 (3652) 549657. На третий раз берёт мужчина и говорит:
"Да, это ул. Александра Невского дом 1 но Вы позвонили на склад и никаких посылок у нас нет" и отключается... Довольно не приятная ситуация происходит и после этого попробовал ещё 2-а раза позвонить по данному номеру и ничего не получилось, так как мужчина решил не тратить на меня время и мне пришлось искать другой номер телефона в интернете - которых оказалось очень много и никто не брал трубку, но следом поступил входящий звонок с подобным номером (на которые на данный момент звонил) и это оказалась работница Симферопольского Главпочтамта ( а далее работница ПР "Почты России" )
Работница ПР предложила приехать на вскрытие моей посылки и получить таможенное уведомление, так как в Домодедово ( г. Москва ) таможенные работники завернули мою посылку в мешок в котором моё уведомление - и которое они смогут вскрыть только в моём присутствии а что именно было написано в том Уведомлении можно будет узнать только после вскрытия. Следом решил попросить переслать данную посылку по моему месту жительства - работница ПР сказав что это надо уточнить у таможни - повесила трубку, сказав что перезвонит. Перезвонив мне через минут 30 работница ПР сказала что таможня не разрешила переслать данную посылку, так как на бирке таможенного мешка - Московская таможня указала индекс Симферопольского Главпочтамта 295000
Долго не думая нашёл много номеров Симферопольского таможенного поста и начал звонить каждому и на третий раз попал на таможенного работника который продиктовал мне номер телефона таможенного работника ( далее ТР ) который занимается посылками с таможенным уведомлением. Ура сказал я!
Звоню таможенному работнику по номеру +73652668930 и рассказываю свою историю, ТР говорит мне что надо посылку переслать в Севастополь по моему месту жительству - ведь мне понадобиться приезжать к ним минимум 3-и раза - далее ТР сказал что ему никто не звонил с Главпочтамта и далее попросил меня перезвонить через 40 минут и тем временим он будет звонить на Симферопольский Главпочтамт и спрашивать почему не пересылают посылку мне в Севастополь - и он сказал что первый раз про данную посылку слышит..
Через 15 минут ТР звонит мне с другого телефона +73652668910 и говорит что действительно - если Московская таможня поставила на бирке адрес Симферопольского Главпочтамта 295000 то мне придётся ехать в Симферополь и вскрывать дополнительный мешок Московской таможни ( в котором находится моя запечатанная посылка ) в присутствии почтового работника и после этого можно будет увидеть и прочитать Таможенное уведомление узнав в какую городскую таможню оно было адресовано. ТР говорит что если уведомление будет адресовано в Севастопольский таможенный пост - то мне надо будет просто уехать с Симферополя домой, а посылку отправят дальше в Севастополь. А если направление в Симферопольский таможенный пост - то мне надо будет ездить к ним, и ещё ТР добавил что ему не нужна данная посылка и он сделает всё что бы перенаправить посылку в Севастополь, что бы ею занималась Севастопольская таможня
26 июня 2020 в 12:00 выдвигаюсь на автобусе в Симферополь для дальнейшего поиска Симферопольского главпочтамта. Примерно в 13:50 автобус подъехал к Симферопольскому ж/д вокзалу ( автостанция Курортная ) и выдвинулся в путь - благо прохожая девушка подсказала мне как дойти до Главпочтамта 295000 - ведь как оказалось улицу на которую надо было мне завернуть - уже прошел...
Зайдя в Главпочтамт был немного удивлён такому большому отделению почты и эл. очереди - ведь проживая в деревне такое не часто можно увидеть, подойдя к кассе сказал что мне надо забрать посылку а в ответ получил вопрос "ваш номерок" - и на этот раз выручила другая девушка - объяснив что надо было взять номерок на входе. А далее очень интересная история произошла с афроамериканцем который получал посылку в этот момент, почтовому работнику надо было сделать ксерокс паспорта афроамериканца - а некоторые некачественные сканеры темный цвет кожи сканирует очень плохо и лицо получается тёмное, а в случае с афроамериканцем почтовый работник отсканировав паспорт - на скане за место фотографии афроамериканца образовался чёрный квадрат - мне очень понравилось как почтовый работник не растерялся и сказал что у них во 2-ом зале Главпочтамта находится плохой принтер и сделанный скан паспорта с чёрным квадратом они не могут приложить к документам и ему надо отсканировать паспорт в другом зале и прийти обратно. Очень такая интересная история произошла и очень не стыдно завершилась
Конечно мне пришлось простоять в очереди около 30 минут - при том что в очереди стояли только 3-и человека включая меня, но почтовый работник не хотел меня обслуживать ведь им надо ввести очередь по номеркам - которые были взяты людьми которые не дождались своей очереди и ушли. На мои просьбы обслужить меня с номером ПО37 почтовый работник перестал обращать внимания - естественно только после моей третьей попытки
Но через 30 минут дошла очередь и до меня - но меня в списке получателя не оказалось, но подошла видимо руководитель Главпочтамта и сказала работнице ПР что это наверное Севастопольский пришел за своим Уведомлением а его посылка находится в другом складе ( то есть в другой комнате ) и моей посылкой займётся лично она
Через 1-2 минуты приносят зелёный мешок с биркой и показывают что на ней написан индекс Симферопольского главпочтамта с индексом 295000 - который нацепили в Москве, отрезая бирку с мешка спрашивают "А почему Вы не позвонили нам что бы мы переслали посылку по вашему месту жительству в Севастополь" на этот вопрос решил ответить "говорил об этом" - а далее решил не раскрывать данную тему.
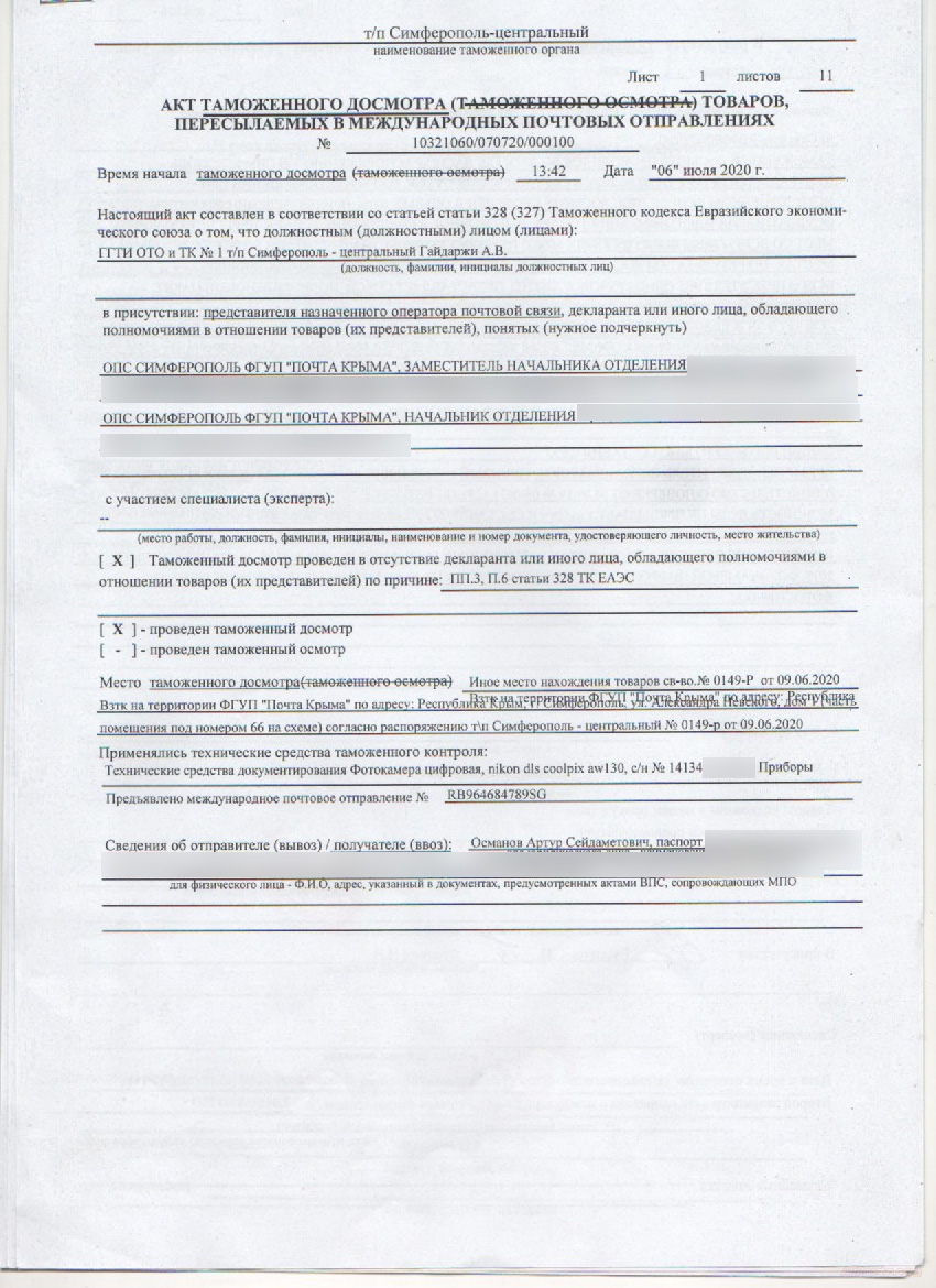
Из мешка достали мою посылку к которой скотчем прилепили Уведомление таможенные работники Москвы. Работница ПР передала мне 4-и бумаги и сказала что мне требуется обратиться туда куда написано в уведомлении и сделать то что скажут. Получил такие бумаги как: Уведомление, накладная, ведомость и Список отправлений для сравнительного анализа на превышение норм беспошлинного ввоза товаров - прилагаю копии:
1

Выхожу с Главпочтамта и звоню таможенному работнику ( далее ТР ) по номеру +73652668930 и говорю что получил Уведомление и там написан указ для таможенного поста Симферополь-центральный, после этого ТР говорит мне приехать к ним на ул. Мальченко, 27, п. г. т. Аэрофлотский и дополняет что это находится около старого Аэропорта, спасибо им что объяснили - это оказалась конечная маршрутки под номером 98 и троллейбуса под номером 9 - что очень удобно, на остановку у главпочтамта через 20 минут подъехала маршрутка 98 и совершенно спокойно доехал до конечного маршрута ( старый аэропорт ) - это оказалось прям радом с таможенным постом Симферополь-центральный
Войдя в здания Симферопольского таможенного поста на ул. Мальченко, 27 в приёмной комнате меня встретила пустота
И как удалось вычитать на окошке дежурного надо позвонить самостоятельно со служебного стационарного телефона в кабинете по номеру 342 и позвать инспектора.
При входе оказывается в левой части комнаты стоял телефон
Легко получилось позвонить по указанному номеру телефона и позвать инспектора а дальше уже другая глава этого рассказа под названием: общение с инспектором таможенного поста Симферополь-центральный.
Общение с инспектором таможенного поста Симферополь-центральный
Открывается окошко таможенного работника, здороваются и просят все документы которые были мною получены в Главпочтамте, и получив все документы - увидели что моя посылка с ценой 201,29 Евро, и это значит что после всех нужных процедур таможни - они должны выставить мне счёт пошлины примерно в 16-18 рублей, и тут начинается самое жуткое...
Инспектор таможенного поста Симферополь-центральный начинает меня уговаривать пойти в Главпочтамт где находится моя посылка и срочно отказаться от неё - так как мне якобы придётся ждать огромное кол-во времени для получения посылки и намного быстрее будет пойти и отказаться от неё и после этого заказать снова у другого продавца который укажет цену меньше 200 Евро. После этого инспектор понимая что отказываться не собираюсь - начинает угрожать со своим напарником мне возможным получением неподъёмного штраф за контрабанду контрафакта. Естественно такого поворота событий не ожидал, и решил попросить мне дать время для принятия решения - на что они согласились и сказали что как раз им так же нужно время проверить какие то документы
Открывается окошко ещё раз и инспектор спрашивает "Так что Вы решили насчет посылки" мой ответ был обычный и простой "Даже и не знаю..." Инспектор начинает рассказывать насколько длинная процедура нам предстоит и очень рекомендует ехать на почту и отказаться от посылки и после этого всего инспектор таможенного поста Симферополь-центральный расспросив что именно лежит в посылке - начал рассказывать что приобрёл такой же телефон в Симферополе на 1 000 руб дешевле.
Очень удивленный поведением инспекторов - попросил ещё немного времени что бы посоветоваться по телефону а сам думаю обдумать что они от меня хотят, инспектор сказав что рабочего времени у них осталось 10 минут и в 17:00 они закрываются - закрыл окошко и ушел
Через 2 минуты решил опять позвонит по номеру 234 их стационара и прошу вернутся инспектора и выслушать моё решение...
Сразу говорю инспекторам "Всё же решил продолжать дело с таможенным оформлением" - и эти слова просто взорвали инспектора и его напарника ( напарник инспектора был на 5-10 лет старше него )
Инспектор начал рассказывать что им теперь надо дождаться всех бумаг которые были высланы почтой а далее им надо будет ехать на Главпочтамт и вскрывать посылку переписав IMAI телефона и после этого отправить IMAI официальным представителям Xiaomi в России для уточнения официальности и подлинности данного телефона. А озверевший напарник начал кричать что возможно мне начислят настолько неподъёмный штраф за провоз контрабандного контрафакта и то что я не понимаю куда лезу - ведь возможно мне пришьют уголовное дело за перевозку данной контрабанды...
Благо последние годы мне пришлось работать в структурах в которых почти каждый день сталкивался с подобными нестандартными ситуациями и не адекватными людьми...
В данной ситуации с угрозой огромных денежных потерь и уголовной ответственности - вёл себя крайне спокойно и ответил на данную грубость обычным предложением "ничего страшного, всё же буду продолжать данное дело" и попросил в добавок сделать ксерокопию всех (4-х) документов державших в руке ( которые прикрепил ранее с Уведомлением )
На моё удивление ( большое удивление ) ксерокопию данных документов инспектор не отказался делать и попросил так же мой паспорт для ксерокопии. Оригинал паспорта и ксерокопии документов мне вернули очень быстро и сказав "Ожидайте мы с Вами свяжемся по Вайберу" - закрыли окошко. Мне пришлось сказать "до свидания" и уйти с данного поста на остановку ожидать свой маршрут 98 для проезда до Симферопольского Ж/Д Вокзала
Единственное о чём очень сожалею - это о том, что не готов был сделать видео запись данного разговора и всего что происходило с данными инспекторами таможенного поста Симферополь-центральный. Да, естественно понимаю что им теперь надо из-за 18 рублей пошлины провести различные внутренние и внешние мероприятия - но кто в этом виноват?!
Инспектора Таможенного поста Симферополь-центральный приняли позицию отшивать таких людей с посылками обратно на почту писать отказ от посылки, и решили лучше уговаривать людей заказать снова без пошлины а если уговорить не получается - то значит будут угрожать всем что придумают... Видимо оплата з.п инспекторам в таможенном посту Симферополь-центральный фиксированная и именно поэтому им достаточно лишь присутствовать в здании...
Сегодня 27.06.2020 и теперь жду действий от инспекторов и естественно теперь к инспекторам Таможенного поста Симферополь-центральный поеду с видео камерой и так же думаю вскрывать посылку в Симферопольском главпочтамте на ул. Александра Невского д.1 - так же с видео фиксацией.
06.07 ровно в 9:08 раздался телефонный звонок с номера +79785251534 и довольно милый женский голос сообщил что меня беспокоят с Крымской таможни и именно сегодня будет осуществлено вскрытие моей посылки и задают вопрос - смогу ли я приехать?! Услышав мой отказ девушка довольно культурно спросила - а могут ли они вскрыть мою посылку в присутствии понятых, естественно ответил что могут и девушка попросила в течении дня держать телефон при себе, ведь они должны после вскрытия сообщить мне их результаты. На данном этапе очень удивила вежливость данного инспектора - возможно она служит не в Симферопольском таможенном посту а в Крымском - но это мои догадки на основе такой странной вежливости.
7.07.2020 в 10:09 поступил звонок с номера +73652668927 и опять та же довольно приятная девушка уточнила место моей работы и в 10:55 позвонила с номера +73652668908 и уточнила время моего заказа, а далее по номеру +73652668912 в 15:30 сказала что направила запрос к официальным представителям Xiaomi в России для подтверждения подлинности данного продукта и о результатах сообщит примерно через 2-3 дня. Ну хорошо подумал я - но очень как-то напрягает вежливость таможенного работника - к чему бы это?!
10.07.2020 с номера +73652668915 в 11:06 снова поступил звонок от таможенного работника и на линии опять была приятная девушка, которая оповестила о том что ответ был получен от официальных представителей Сяоми в России и теперь мне надо приехать в Симферополь на таможенный пост Симферополь-центральный и предъявить:
1. Скриншоты заказа с АлиЭкспресс
2. Скриншоты оплаты заказа на АлиЭкспресс
Единственное попросила чтобы было видно с какого именно магазина было куплено а так же скриншот фактически оплаченной суммы в онлайн магазине. Предупредила что лучше по приезду с собой иметь свой ИНН - так как может понадобиться при оплате пошлины в банке
Мне кажется первоначальные работники таможенного поста Симферополь-центральный перекинули растаможку моего телефона новенькому работнику - именно поэтому данная девушка настолько приятна и прилична
Сегодня 13.07.2020 направляемся в Симферопольский таможенный пост Симферополь-центральный с распечаткой таких скриншотов
Очень интересно как оно пройдёт...
В 11:25 прибыли по назначению в Южный таможенный пост Симферополь-центральный у старого аэропорта - встретила нас девушка, которая как оказалось в звании майора. Действительно очень приятная девушка и при этом версия про скидывания моего дела с растаможкой телефона новому работнику от старых - рушится, ну да ладно...
Передал все ксерокопии заказа с онлайн магазина алиэкспресс и оплаты + ксерокопию ИНН инспектору и нас попросили подождать, а пока ждём передали бланк "Объяснение" для заполнения


Да, теперь всё больше понимаем что наша подготовка для фото и видео фиксации неадекватных инспекторов потерпела крах, но недружелюбные инспектора которые встречали меня в первый день и отговаривали делать растаможку посылки были в здании на смене
Далее бланк "Объяснение" заполнил специально коряво и получилось именно так ( почему так сделал - сам не знаю... )


На данном объяснении видно что фамилия и инициалы инспектора который на данный момент осуществляет моё таможенное оформление: Гайдаржи А.В.
И если бы с первых дней она вела бы растаможку - ощущение от таможенного оформления остались бы только приятные
Далее в 12:57 девушка передала нам Квитанции для оплаты пошлины в размере 13,09 рублей в банке РНКБ - который находится в шаговой доступности от таможенного поста.

Так же попросила сказать работнику банка про обязательное указание моего ИНН в данной оплате - так как бывает что платеж теряется и долго не поступает на счет Крымской таможни - и мы отправились в отделение банка.
В отделении банка мы были 3-е в очереди и оплатили пошлину в размере 13 рублей без комиссии и даже 09 копеек с нас не попросили - мелочь а приятно. оплатить получилось по времени в 13:04

Далее вернулись на таможенный пост и позвали инспектора через служебный телефон по номеру 342 - передали квитанцию оплаты пошлины и на своих ксерокопиях скриншотов написали: Копия верна и поставили подпись. После нас попросили подождать когда деньги поступят на счет Крымской таможни и спишутся - и мы отправились гулять
Посетив местный ресторан в 14:50 поступил телефонный звонок от инспектора и девушка попросила подойти, так как деньги уже поступили на счет и можно забирать бумаги для получения телефона на почте.
Получили такие бумаги

И естественно получили второй дубликат Акта таможенного досмотра товаров, пересылаемых в международных почтовых отправлениях - в котором 6-ть листов, в основном фотографии вскрытия посылки таможенным инспектором Симферополь-центральный
Счастливые скорым получением телефона отправились в симферопольский главпочтамт на ул. Александра Невского д 1 (индекс 295000)
В 15:34 вошли в здание главпочтамта и вошли в правую дверь
Где установлен терминал для получения номера для электронной очереди, для получения номерка необходимо выбрать на мониторе соответствующую услугу ( в нашем случае - получение посылки )

Нажимая на монитор и выбрав нужную услугу - терминал предоставил нам номерок

И мы направились во 2-й зал в Симферопольском отделение Почты России
Где естественно дождавшись своей очереди получили и вскрыли посылку на видео фиксацию - но всё было без приключений и именно поэтому фотографии нашей посылки с телефоном Xiaomi Redmi Note 9S сделал уже дома и был полностью уверен что данный телефон подлинный - ведь это уже проверила таможня. Но всё же проверили IMEI телефона сверив с коробкой и временной пленкой - всё совпало
Xiaomi 9S обзор
Сняв пленку с телефона Сяоми 9S и вставив в отдельно купленный кожаный чехол и наклеив защитное стекло - он просто великолепен за 15931 рублей
ссылки на все товары оставлю в комментариях
Ну а теперь очень интересный момент, возможно некоторые заметили указанную сумму данной посылки продавцом
На посылке указана сумма в 85$ ведь продавец написал мне об этом - после моих возмущений продавцу про направление посылки с таможенным уведомлением с алиэкспресс и теперь мне придётся заниматься таможенным оформлением и оплачивать пошлину в размере 15% от суммы которая будет больше 200Евро.

В моём случае полная сумма заказа была 201,29 Евро и пришлось оплатить 15% от 1,29 Евро - что и составило 13 рублей, но как они узнали что мой телефон обошелся мне именно 201,25 евро?! - ведь совершая данный заказ применил Купон AliExpress (-1300 руб) и Купон продавца (-151,82 руб) для получения дополнительной скидки. Ведь только с применением данных купонов и вышла цена в 15931 руб а полная стоимость данного заказа была 17383,23 руб - ссылку на свой Телеграм где делюсь всеми купонами и промокодами оставил в комментариях
Объяснение данному феномену у меня только одно - АлиЭкспресс автоматически передаёт данные наших заказов таможенному посту в Шарапово а именно:
1. Трек номер посылки
2. ФИО ( указано так как мы указали в адресе доставки на алиэкспресс)
3. Адрес ( так же указанный нами в адресе доставки )
4. Стоимость в Евро
5. Фактический вес
И для алиэкспресс не имеет значения цена товара - он просто передаёт а на посту в Шарапово уже сортируют посылки и если едет посылка превышающая 200Евро - они об этом знают заранее, ведь точную стоимость моего телефона угадать на таможне было не возможно
Данное нововведение было мною услышано ранее из непроверенного источника и на тот момент решил не предавать этому значение - но теперь отчетливо видно и понятно что данную сумму никто не мог узнать и примерно высчитать - её могли только автоматически передать на центральный таможенный пост России.
И по моему мнению указание продавцом меньшей суммы (85$) только ухудшило моё положение - ведь если продавец указал бы полную фактическую сумму ( 201,25 евро ) - посылка скорей всего прибыла бы в отделение Почты России с уплатой 13 рублей таможенной пошлины, которую можно было бы оплатить прям в отделении и получить сразу посылку. А в моём случае заявленная сумма и переданная сайтом алиэкспресс на таможню отличалась и именно поэтому пост в Шарапово передал задание Южному таможенному посту Симферополь-центральный - проверить и уточнить стоимость моего заказа, но а этот процесс оказался не такой и быстрый...
Так же хотелось бы напомнить что делая заказ на алиэкспресс данного телефона мною не было написано сообщение продавцу про уменьшение цены посылки - данный продавец на всех отправленных посылках указывает заниженную стоимость и что бы продавец указал фактически оплаченную стоимость - надо его попросить а именно написать ему в сообщении к заказу
Обязательно переходите по ссылке в комментариях и подписывайтесь на группу в Телеграм для получения дополнительных скидок на заказы алиэкспресс
Интересная статья: АлиЭкспресс в Крыму 2020






































